Sister Jayanti Chasing £1m Home of Tragically Deceased BKs

for discussing revisions in the history of the Brahma Kumaris and updating information about the organisation
  • Message
  • Author
User avatar

ex-l

ex-BK

  • Posts: 10721
  • Joined: 07 Apr 2006

Sister Jayanti Chasing £1m Home of Tragically Deceased BKs

Post31 Oct 2019

While the city of Leicester was stunned by a tragic helicopter crash that killed 5, including the sponsor of one of the greatest sporting accomplishments in British history, the BK trustees and leader Sister Jayanti were apparently salvating over the Estate of the pilot and co-pilot, Eric Swaffer and Izabela Lechowicz, both Brahma Kumari adherents to some degree.

Their home alone was worth over £1.1m.

The incinerated bodies of Eric Swaffer and Izabela Lechowicz were found entwinded as they apparent held onto each other at the last moment of the crash.

Eric Swaffer is being hailed as a hero for avoiding what could have been a terrible accident killing 100s at a crowded football stadium by piloting the failing aircraft to an empty parking lot.

The Brahma Kumaris UK were represented by accountant and trustee Sanjay Tulsidas.

I quote in full as reported.

As friends, family and Leicester supporters raise £1,000s in donations for causes Eric and Izabela supported, the hipocrasy of the Brahma Kumaris is highlighted in full. In public stating that they will be "sending light and love for their onward journey", in private sending lawyers letters chasing the couple's property and money.

Eric Swaffer and Izabela Lechowicz were passionate vegans, Izabela's Sister is raising money for a vegan charity. Izabela was a winner of the #Polka100 award, an accolade for "exceptional women who inspire the Polish community in Britain". See also here.

Thousands of tributes have been left outside the King Power Stadium where the accident happened.

It is not recorded that the Brahma Kumaris have made any donations to the causes Eric and Izabela supported ... apparently they just want their money and property.

This is pretty much the standard deal for the BKs ... "you give us your time, money and property, we'll give you our positive thoughts in exchange".

Leicester is home of one of the oldest and largest BK centres, a recently purpose built 20,000 square feet factory unit called "Harmony House". At its opening, Sister Jayanti, Director of the Brahma Kumaris for Europe & Middle East said,
Harmony House is a place where each one can feel that their natural intrinsic quality is that of goodness, peace, love and truth.

One wonders about the Brahma Kumaris understanding of the word "goodness" but we are happy to help them with promote the "truth".
Friends of Eric and Izabela.

We write openly to you all today at the anniversary of the tragic helicopter accident in Leicester Football Club Stadium in the UK, October 27th 2018. On that day 5 people lost their lives, 2 of which were our family, our heroes, public heroes - Eric Swaffer and Izabela Lechowicz. Many of you around the world may have met them as they travelled and will know them to be amongst the kindest, most generous, compassionate people in life.

Eric and Izabela supported the Brahma Kumaris (BK) organisation for many years in good faith, although that support eroded in the last few years based on how they perceived the BK organisation to be run - they continued to teach their vegan lifestyle and fight cruelty against animals and practice compassion to all.

Unfortunately today the words Brahma Kumaris are only associated with creating sadness and sorrow for our family, for the parents of Eric and Izabela, and many of our friends who are supporting us.

Whilst the family were coping with the loss, dealing with the police, the coroner, the air accident investigation branch (AAIB), and dealing with forensics so their bodies could be identified - we are contacted by a BK Trustee - Mr Tulsidas - claiming that BK had Eric's Will from 1996 to take everything from their estate and basically wanted access to 'the property' which we later found out from neighbours that they had already tried to get into prior to contacting anyone.

We met Sister Jayanti Kirplani, Rosemary and Mr Tulsidas at your centre in London shortly after their contact claiming ownership of all that was Eric's based on a Will that Eric didn’t know existed. It was an awful meeting. Everything was raw for us and yet there was no enquiry as to how the family is, no consideration to the health of Izabela's Sister 9 months pregnant - instead with some quiet nodding - they presented us with a Land Registry document as they had already searched to see what Eric may own that was of any value (clearly the number 1 priority from their perspective), and the second document was one from 1996 - a Will that had been written by BK, was signed by BK trustees and members, on BK premises, with BK as the beneficiary. Other BK members in that house at that period have shared that many were encouraged to sign that document and it was passed off mainly as a document to ensure cremation, some of them refused to sign. They shared that Eric was "targeted" like other 'high value' members due to his career as a pilot and association with some famous people within that. In fellow BK member words -" he was worth more to BK and they pursued him". The very fact that this approach on Will creation goes against everything in the Charity Code of Conduct gives insight to the operations of the administration and leadership.

Perhaps most heart-breaking in that meeting was their statement that they hoped for a 'win win' - the use of these exact words appalled us causing a depth of sorrow that I hope you never experience and leaving that 9 month pregnant bereaved Sister gagging in their hallway in that way where you want to be sick but cannot - this was only 2 days after their charred bodies had been forcibly separated from each other (they were joined arm in arm at the final moment) and removed from the helicopter scene. We left wondering what possible 'win' could ever arise from such a tragedy, and how anyone could look at it that way - regardless of their belief.

Eric Swaffer and Izabela Lechowicz.jpg


Eric clearly did not remember that document as a Will, and talked to family for some time about needing to have one, he eventually made a Will in 2015 as part of life planning with Izabela now they'd decided to 'settle down' in the UK. Eric and Izabela lived with Eric's parents for a period when they came back to the UK, his relationship with his parents was deep, he cherished and loved them both, they considered Izabela their daughter. His intentions were clear that if he wasn't there, Izabela would take care of his mum and dad.

Those instructions, as indicated in other email correspondence with various BK members around that period - do not include any provisions for Brahma Kumaris. His focus was on ensuring the love of his life was secure in the event of tragedy never imagining they would die together. However it was executed and witnessed, there can be no doubt of his intentions in that Will, the document was notarised by him on every page - his wishes are known and clear.

Our family is trying to honour his wishes and those we knew from them both and ensure his mum and dad are cared for - and yet this 'charity' continues to push for cash, assets, estate. Surely this is an insult and contrary to their preaching of mastering the language of love through giving, not taking.

We tried further contact by writing to Sister Jayanti in June requesting a friendly open meeting to discuss intentions and even a compromise, but we were met by return only with letters from lawyers forcing us to engage via lawyers as the only means of communication. This feels like the cold side of reality in their intention to work legally not openly nor amicably. That was June, and even now we have had no meeting, no discussion, only slow exchange from lawyers.

BK Eric Swaffer and Izabela Lechowicz.jpg


We want to inform you of the truth in this matter and warn that it could happen to you and your family. With the initial publicity from the accident last year - we have received messages from current and ex-BK members regarding being evicted from their own homes when one partner in a couple died or similar, we are certain that Izabela herself would have been treated this way had she survived. It is hard to believe this happens - especially in the UK - but the fact appears to be that BK leadership and administration prioritises wealth and fortune over compassion, decency, and doing 'what's right' in a situation even by their own previously supportive and 'cherished' members.

We sit with sorrow-filled broken hearts from our loss, newspapers and magazines filled the pictures and video of the burning helicopter, the testimony of the brave Leicester policemen recently recognised for their bravery in attempting rescue before the inferno took full force, the headline of "Heroes" for managing to crash the helicopter away from the stadium crowds.

We want their wishes to be met and to enshrine Eric and Izabela in the loving and joyful memories we created together, to do that - we need the BK organisation to live up to their teachings, to step up to the values they expect from all of you - do the right thing, honour their clear wishes, and release them to the family.

We know that many of you loved and remember Eric and Izabela and we are grateful to those that shared your memories and support with us. For those that have been friends to Eric and Izabela, or simply if you value honesty, ethics, and hold high moral standards then please support us by appealing within your centre, to your fellow members and leaders - where ever you are in the world - to step back.

We are continuously creating Karma - we all get to choose what kind of Karma that is.

In sorrow, love and hope.

The Family of Eric Swaffer and Izabela Lechowicz.
forericandizabela@gmail.com
User avatar

ex-l

ex-BK

  • Posts: 10721
  • Joined: 07 Apr 2006

Re: Tragically Deceased BKs: Sister Jayanti Chasing £1m Home

Post31 Oct 2019

The Brahma Kumaris even used their deaths to advertise that they had been meditating with them for many years, and to link to their Facebook page.

BK Leicester.jpg

This email [address above] was setup by Kasia (Kates Sister) and Dave (Kasia's husband) on behalf of our families as we are trying to deal with everything on behalf of both sets of parents who are in their 70s and 80s and still devastated (as are we) by the accident, let alone the compounding terrible behaviour of BK.

By way of a short update - we have received many stories of poor behaviour by BK, and other situations where it seems wills were used to take advantage.

Right now - apologies if we are slow to reply to some messages - we are focussed on doing multiple interviews for a set of tributes to Eric and Izabela for this Sunday - as the Memorial Garden at Leicester City Football Club stadium is opened and we will be there. There is a lot of press interest to cover the anniversary and we are grateful to be able to talk about what great people Eric and Izabela were, the adventures they shared, the love and compassion they showed to all around them. Hopefully you will all see or hear some of those tributes this weekend in TV, newspapers and online. Meantime meeting lots of journalists is also useful...

If you have any further thoughts or experiences on BK to share, or advice to give us regarding BK then please do.

Our warmest wishes to you all,

Dave, Kasia, and the Swaffer & Lechowicz families.
User avatar

ex-l

ex-BK

  • Posts: 10721
  • Joined: 07 Apr 2006

Re: Tragically Deceased BKs: Sister Jayanti Chasing £1m Home

Post31 Oct 2019

Brahma Kumaris UK Trustee Sanjay Tulsidas, whose questionable activities involving a marriage to another Brahma Kumari follower and property interests we have questioned on this forum before, runs or has run several business from 7 Plaza Parade, Maida Vale, London NW6 5RP all of which carry the title "Angel" in their names and are involved in money making, and the letting and operating of own or leased real estate.

Sanjay much be available for comment at T: 020 7328 8294 or E: info@financialangels.co.uk.

One question, which BKs precisely went snooping around the deceased couple's home, looking to gain access before even speaking to their families ... and for what purposes?

Perhaps to discover if any other Will existed that would nulify their claim?


I wonder if the families of the deceased consider Mr Sanjay Tulsidas to be as "angelic" as clearly he and Sister Jayanti Kirpalani thinks he is - and his money making, property managing skills are.

User avatar

ex-l

ex-BK

  • Posts: 10721
  • Joined: 07 Apr 2006

Re: Tragically Deceased BKs: Sister Jayanti Chasing £1m Home

Post31 Oct 2019

Link to a video of BK supporter Shailen Popat, a "close friend" of Eric Swaffer and Izabela Roza Lechowicz interviewed for Pukaar News talking about their Brahma Kumaris connection, and how their involvement with the Brahma Kumaris would afford them future good karma.

According to the latest accounts, the Brahma Kumaris in the UK currently have an accumulated wealth of over £16,600,000 (16 million), cash in the bank or in hand of over £5,300,000, and received over £460,000 in Gift Aid from the British government.

Strange ... if the world is still going to end in 2 to 3 years, as Sister Jayanti always told us in the 1980s.

Daiai_Lama.jpg
Daiai_Lama.jpg (41.39 KiB) Viewed 35168 times

OceanIam

  • Posts: 11
  • Joined: 26 Jul 2019

Re: Tragically Deceased BKs: Sister Jayanti Chasing £1m Home

Post31 Oct 2019

It's sad to hear, but not unexpected. Brahma Kumaris have been involved in so many such cases, I remember there were cases in Madhya Pradesh, another in Uttar Pradesh, and in Delhi as well. There are so many such cases of different types, at different levels. They have acquired so many such properties through this legal and land grabbing trickery.

I remember a case of a doctor in 2015, they took his home for Gita pathshala then slowly grabbed that property. Later when he got in his senses, I mean as you guys say when HIS Honeymoon Period got over, he demanded them to leave his property, and was given their lovely social humiliation and mental pain. It all ended in the police station after which they left that property of that small town. It was quite a humiliation for him.

I can list numerous such examples, some of them includes how they built their Hyderabad retreat center and the recent one in Nagpur. How they took money for Kanpur museum and how they brought land in Lucknow, and there was one in Chennai as well. Their entire system runs like that. Seek the vulnerable - grab their property. So, firstly, it is to be understand that they are doing this all over the India, quite a common thing in every state.

I would like to add another thing as you all are aware of it: they have used the death of any of their VIP visitors who has ever visited their FAULTY PARAGON at Mount Abu, as their advertising material. Recently they en-chashed the death of Atal Bihari Vajpayee (Former-PM). I remember I was told to put the condolence message of Sir APJ ABDUL KALAM in newspapers as it was ordered from their HEADless-quarters, and was told to write that "he has visited BKs and was greatly inspired by BKs and shared a wonderful relationship with them".

I paid no heed, it was a very cheap stunt of BK media people in PMTV office and in Radio Madhuban who did posted it on Facebook and on social sites (there's a team who handle those sites). Classless act. Utterly shameless people, they want publicity at all means. I know those IT cell people, they cannot type a post properly, have so many screenshots of their U-TURNS, they do so many spelling mistakes. They need to have at least a good sensible and literate guy, who is willing to remain unpaid, unemployed and unawared. I've observed their PMTV clickbait titles and introductions, there I have seen so many spelling mistakes. And these young little headless blokes, the SAFED KURTA FATI JEB GANG enchash the deaths of people. Amazing is not it?

Now, coming back to the demise of Eric and Izabela. It was also publicized. Nowadays, they work through WhatsApp groups through their A team, B team and C team. I remember last year they put this on their PIN BOARD in MAD-BUN and then it was mischievously forwarded in all their WhatsApp groups with self-praise and boasting about their connection with them. And see, now they are after their wealth and property; showing no sympathy at all, towards their families.

Yesterday I saw this two liner on PMTV as their official stand on this matter:
कहां से चले थे, कहां को आ गए
जिन्होंने हमें जिंदा रखा, हम उन्हें ही खा गए।

- written exclusively by Brahma Kumaris in their true state. (Soon you too will find this on Pmtv and on Awakening as well, it's their only original thought)

[Translation:-

From where we have started, to where we have arrived
Those who have fed us, we eat them alive.]

IMG_20181102_152110.jpg
Pin board pic of BKs Headless-Quarter.
User avatar

ex-l

ex-BK

  • Posts: 10721
  • Joined: 07 Apr 2006

Re: Tragically Deceased BKs: Sister Jayanti Chasing £1m Home

Post01 Nov 2019

OK, so what I am deducing from this, is that in the 1990s, presumably during his Honeymoon or Intoxication Phase, Eric Swaffer signed one of the BKWSU (UK) standard wills that leaves everything to the Brahma Kumaris, in the delusion that by doing so, he will gain a high status and riches in their future Golden Age.

We were told earlier that the Kirpalani Klan cleverly keeps a copy of 100s of these to cash in at a later point.

Eric Swaffer then apparently moves away from BKism and has some sort of relationship with a woman Izabela Lechowicz who he is photographed being physically close to and is referred to as his "girl friend" and "soul mate". By all accounts they are very happy together.

What we don't know is whether Izabela is or was, or how much of, a Brahma Kumari.

How observant were they? It seem the edges of who is and who is not a BK have been broadly blurred.

Now, hypocritically, in the old days the BKs had a principle of not taking money or donations from "impure" people because their money was tainted by their spiritual impurity. They taught that at least up until the 1980s (but who knows if they actually practised it in private).

Eric, and Izabela, would have been very attractive to the Brahma Kumaris because of wealth, his skills (one account has them flying VIP BKs to a retreat) and especially his connections to the super rich and famous. The client above was a billionaire and connected to Leicester where they have one of their biggest, mostly Hindi centres. He was photoed with the Dalai Lama. Who knows who else he flew around in private jets and helicopters.

Therefore, along with current trends in the BKWSU West, my assumption is that such an individual - who is, in essence, breaking the Maryadas and has therefore "failed", or fallen by BK values - is allowed latitudes (freedom of action or thought), that were not widely allowed of lesser or lower caste BKs and, especially, the serf castes within BKism.

They are "kept close" because of their usefulness to the cult.

Then, in the "lucky lottery" of if or when they die prematurely ... the Kirpalani Klan pulls out the will and demands its gold.

It's all about percentages for them. A percentage of BK will die early/before Destruction, they will get a percentage of their Estates. The BKs invested into setting the deal up through indoctrination and hospitality ... but the check arrives when one "cashes out of life".

I suspect it is just an opportunistic thing for them, all part of their ruling principle of "expedience" (what matters is not what is right or ethical, but but works or is useful).

And, slimy ******* that they are (no apologies for writing that), what we read is they offering to cut a deal with the families ... in other words, they will take as much or as little as they can ... something is better than nothing.
OceanIam wrote:It's sad to hear, but not unexpected. Brahma Kumaris have been involved in so many such cases ... Their entire system runs like that. Seek the vulnerable - grab their property ... they are doing this all over the India

Allow me to ask difficult questions of this. Where does this tendency come from? How do we frame it?

Is it an Indian thing, a Sindhi thing, a womanly thing (gold diggers was the old fashioned word in English)?

But what is clearly from our experience, and your report, is that is it a global tendency of theirs and so, therefore, COMMUNICATED across their networks.

It is an idea or strategy that they must teach or instruct their centre-in-charges to carry out.

Coincidence is just not good enough to explain how common and widespread the strategy is. They might as well state openly, "go out and find people who are going to die soon, and then sweeten them up so they will leave you some money and property when they day".

It apparently is being said but in private rather than on record, e.g. during the telephone calls and messaging between Senior BKs and their middle management. Or is it more openly taught, e.g. at teacher training workshops? It is written down and codifed?
I would like to add another thing as you all are aware of it: they have used the death ... as their advertising material.

Says it all really.

I would like to dedicate the next song to Sister Jayanti of London and all her obedient minions ...

User avatar

ex-l

ex-BK

  • Posts: 10721
  • Joined: 07 Apr 2006

Re: Tragically Deceased BKs: Sister Jayanti Chasing £1m Home

Post01 Nov 2019

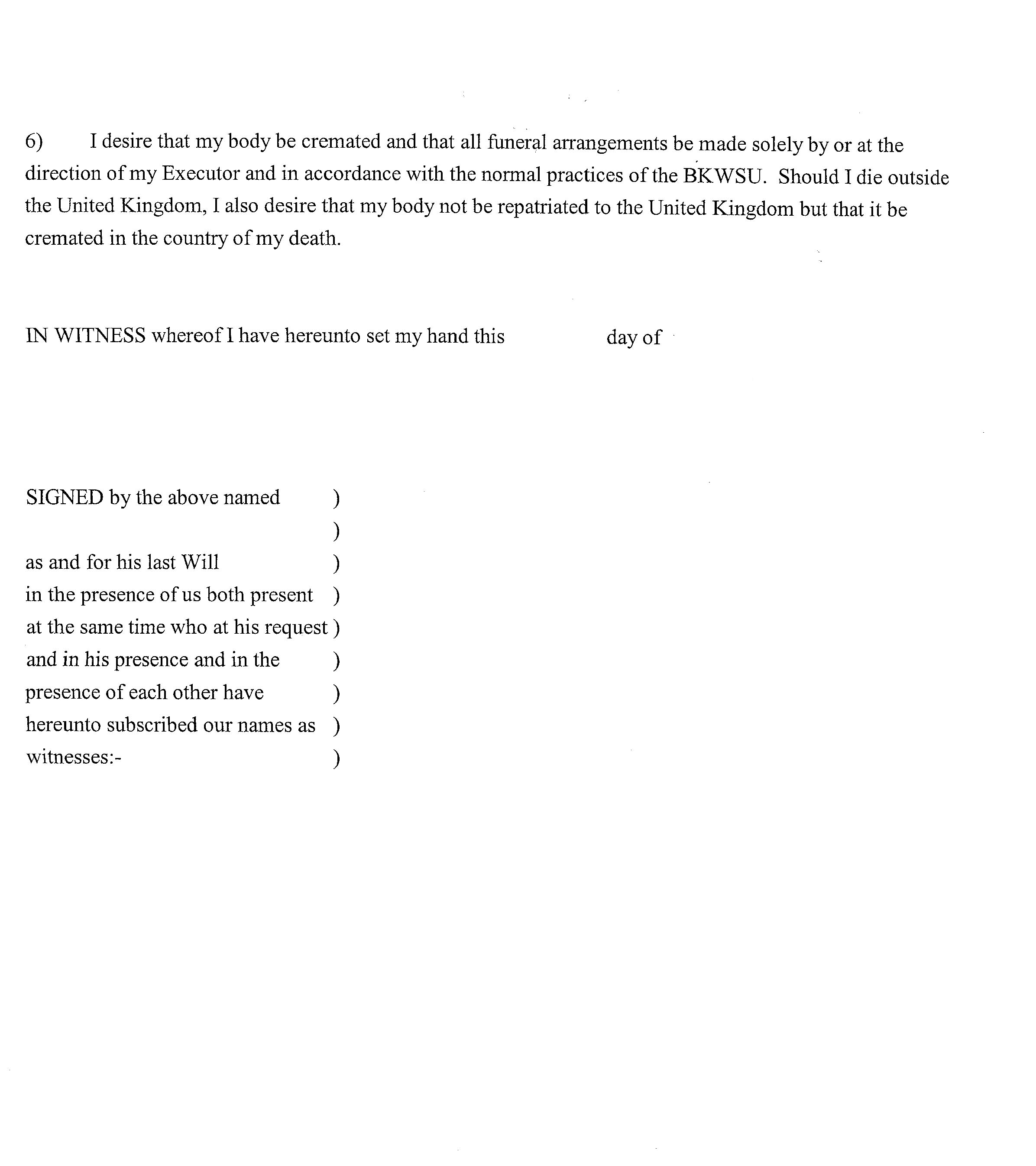
Here is a copy of the BKWSU (UK) standard will. Note the collusion of BK Neville Hodgkinson and Christopher Drake (who has written BK advertising about ethics in business) ... and the denial of any family member from representing the deceased individual after death. No one that might challenge the financial interests and right of total claim over the individual of the Kirpalani Klan.

Note also how the Brahma Kumaris 'cut costs' by having followers' corpses cremated (no graves and upkeep to pay for) and, if they die abroad, cremated on site with no repatriated (no costs bringing the "rotten meat" back).

BK will1.jpg

BK will2.jpg
User avatar

ex-l

ex-BK

  • Posts: 10721
  • Joined: 07 Apr 2006

Re: Tragically Deceased BKs: Sister Jayanti Chasing £1m Home

Post02 Nov 2019

ex-l wrote:Is it an Indian thing, a Sindhi thing, a womanly thing (gold diggers was the old fashioned word in English)?

It is an idea or strategy that they must teach or instruct their centre-in-charges to carry out.

I thought about this and came up with another possibility, that it's something they've seen the temples, gurus or Brahmins do and so they've thought to themselves, "if they do it, we should get some of that action (money) too".

oldbk

  • Posts: 135
  • Joined: 29 Dec 2018

Re: Tragically Deceased BKs: Sister Jayanti Chasing £1m Home

Post03 Nov 2019

I thought about this and came up with another possibility, that it's something they've seen the temples, gurus or Brahmins do and so they've thought to themselves, "if they do it, we should get some of that action (money) too".

It is really about how well can you make a monster out of the guilt feelings in people and exploit it at the earliest.

The same has been and continues to be performed by priests, horoscope readers - the traditional ones ...

Now we have the "smart" ones who have taken the new path of talking about "love, peace, green earth" etc which appeals to the wealthy, educated (pseudo), "want to fee good and show the world I am part of it".

So, the BKs are now in full swing with this "New Age" gurus, competing and gaining a big share of this pie. Since wealth is now getting accumulated in the hands of the few, those few are able and willing to give a big chuck to these Business Entities, trying to overcome their guilt feelings (same as traditional).
User avatar

ex-l

ex-BK

  • Posts: 10721
  • Joined: 07 Apr 2006

Re: Tragically Deceased BKs: Sister Jayanti Chasing £1m Home

Post03 Nov 2019

There's a saying amongst disaffected BKs ...
    When the Brahma Kumaris want something from you, they are a family;
    When you want something from the Brahma Kumaris, they are an organisation.
Or, as oldBK writes, a business entity.

An ethical question arises in my mind, accepting that ethics have *zero* place within the BK system.

Firstly, as Eric and Izabela were in a full, sexual-emotional relationship, is it fair to say Eric was BK any more?

Everyone here will remember the god spirit of the BKs and its leaders spouting about the sword or poison of sex lust, or human love was worse than just being impure but equivalent to murder, and how terrible those BKs who fall in love or fell will suffer.

Is it ethical for the Brahma Kumaris to chase after the money and property those who had left and became "impure", and suffered so terribly?

Many of you will also remember how the Maryadas *used* to say how BKs could not accept money from those who were "impure", because those donations would also be impure. They've clearly thrown that rule out.

Secondly, how can they call Izabela a "Sister", as in a Brahma Kumari follower when she was clearly not following? How audacious can you get.
"Oh, wah wah ... Izabela was our "Sister" ... we loved her so much ... we've sent her our thoughts and light ... now give us her money!!!

Lastly, under British law is someone died without having children or a wife (I don't know if Eric and Isabel were formally married), their estate - money, property and any other assets - goes to their parents.

Therefore, in this case, Sister Jayanti and the Brahma Kumaris are looking to steal the money from their 70 and 80 year old, parents.

A multi-millionaire Sindhi charity robbing sick old age British pensioners in England.

Parents who gave birth to, and fed and nourished Eric through his childhood.

Or, as Sanjay Tulsidas called a win-win situation. For who?

Apparently, the open email above has been sent to over 150 BK centres all around the world. Unsurprisingly, the response has been one of ... silence.

Let's see if any of them comes forward to challenge the Kirpalani Klan over the ethics of what they are planning. Presumably Jayanti is concerned about who is going to pay for all her international jet set hob knobbing next year? Or perhaps she still needs someone to pay for the £6m+ renovations of their palatial mansion in Oxfordshire.
    Can someone tell me why the Brahma Kumaris are spending £6m+ on renovating a mansion house in the countryside when the world is going to be destroyed in 2 to 3 years?

oldbk

  • Posts: 135
  • Joined: 29 Dec 2018

Re: Sister Jayanti Chasing £1m Home of Tragically Deceased B

Post03 Nov 2019

Can someone tell me why the Brahma Kumaris are spending £6m+ on renovating a mansion house in the countryside when the world is going to be destroyed in 2 to 3 years?

I understand that you are not looking for an answer to this question ... we all know the reason ...

The BKs do not believe themselves that "going to be destroyed in 2 to 3 years. Nor do they believe in any of the Murlis that they spout to the naive. Those have already been revised so much that "they" know that it is all BS to be used for brainwashing the uninitiated and the naive. In addition, they have their own "mouthpieces, who spit out the modified versions with artificial tones and gestures to keep the crowd in check (entertained). Also, we realize the crowd themselves is not looking for anything authentic ... they are also looking for some feel good, show off that can be used as a qualification (like in a CV).

In the end, it boils down to ... the Pyramid scheme (scam) ... the top makes the luxurious life and travel, and it percolates down, each level enjoying it based on their status !! (Interestingly, it is the Goldge Age model too !!!
No wonder, you don't hear any dissenting voice from any of the centers about this "violence". And the individual voices that might come up is then easily silenced and pushed out from inside ... and ends up in this forum ! ;) :sad:
User avatar

ex-l

ex-BK

  • Posts: 10721
  • Joined: 07 Apr 2006

Re: Sister Jayanti Chasing £1m Home of Tragically Deceased B

Post04 Nov 2019

On their donations website it states £5m for the renovations in one place, and £6m+ in another.

Well, there's where Eric's estate is going to go. I wonder what the "Win-Win" deal the Sindhis are going to offer the families, perhaps a timeshare cottage on the grounds of their mansion house with as many "free retreats" as they want?

I have to accept that the inner circle have long stopped believing in Destruction, having themselves witnessed so many failures ... except for believing in its earning power.

Here is Sister Jayanti establishing the current "go to" excuses,
    a) "Baba has never given a date" (which is a based on a lie, a wordplay, that he has never mentioned a specific day/month/year ignoring all the year or event predictions he has made),
    b) "Someone", she claims not to know who, made a misinterpretation, as in it's not the Baba's fault, it's some BK (ignoring that the prediction appeared in "Godly" Murlis and on publications that god Lekhraj Kirpalani sanctioned).
Her cloying argument is deeply disingenuous or fallacious.

She makes a seemingly reasonable argument that such predictions happened during Partition when their were bloodbaths in India (one of god Lekhraj Kirpalani favourite fixations in his Destruction predictions), ignorant of the simple fact ... they did not occur in the Sind.

They happened 800kms away in the Punjab.

She, and the cult in general, makes magical claims that the BKs were left alone because of their "purity". But the simple historical fact is that no Hindu Sindhis were harm by Muslim Sindhis because of their historical closeness, and right from the top down, Jinnah and Khuhro (its the Chief Minister after independence of Pakistan), the Muslim leaders envisaged a Pakistan where its minorities remained and specifically protected them. Put simply, they did not want to lose their merchants, bankers and sanitation workers. (Karachi's sanitation department is to this day still run by Hindus).

This is a study in Sister Jayanti art of talking nonsense and lying outright is a seemingly plausible manner. Sister Jayanti was personally using her status as an unquestionable "Shrimat" giver to push the prediction of Destruction in "two to three years" in the early 1980s when, at the time, the Sakar Murlis said, "50 years for Destruction (i.e. 1986), 50 years for Creation". She, herself, used to translate them as such.

User avatar

ex-l

ex-BK

  • Posts: 10721
  • Joined: 07 Apr 2006

Re: Sister Jayanti Chasing £1m Home of Tragically Deceased B

Post04 Nov 2019

Both Jayanti's, and the deceased Anthony Strano's video here, were prepare as a damage limitation effort to the exposés of this website.

Strano again puts across what must appear to be a plausible sounding excuse - to outsiders - that, again, it was all the fault of followers and "misinterpretation" and, again, "never pinpointed an actual date".

Looking in Strano's eyes, does it not look like he is lying to you? He actually avoids answering the question, "Are the Brahma Kumaris a cult that believes in 'global destruction'?" and sidesteps the issue.

User avatar

Pink Panther

  • Posts: 1920
  • Joined: 14 Feb 2013

Re: Sister Jayanti Chasing £1m Home of Tragically Deceased B

Post05 Nov 2019

The family’s email to the BKs in the first post mentions that Eric Swaffer made out a new will in 2015, so that would replace any previous wills.

Secondly, I understand that the UK also has laws that can overturn any legal documents signed by members of cults if its deemed they were under psychological coercion.

The same law is applied to the elderly, the disabled, employees, anyone who may be manipulated by being under the sway of someone whom they psychologically accept as more powerful and authoritative than they. For example, the Scientologists’ Sea Org group where they sign over all authority for 10,000 years or 10,000 lifetimes or something.

The BKs have deep pockets and may contest any will but there is enough evidence in even in this thread of posts showing how the BKs operate which would convince any judge of their avaricious motives, as long as the family is willing to stand up to God’s scavengers.
User avatar

ex-l

ex-BK

  • Posts: 10721
  • Joined: 07 Apr 2006

Re: Sister Jayanti Chasing £1m Home of Tragically Deceased B

Post08 Nov 2019

Does this look like a BK couple to you? So, are the Brahma Kumaris just taking money from anyone and anywhere now, now matter how "body conscious" or "impure" they are?

What I realised a long time ago is, that the leaders make rules that they break at whim ... to ensure all the money, property and power is centralised within them.

The rules are not there to be "spiritual" but to protect and maintain their power.

I remember the case that confirmed this for me, in the USA, where a local center-in-charge so impressed a local business that they made a large, a 10,000s of dollars donation to the local centre. Only for Big Mohini to fly in from New York and suck the money up, only for it never to be seen again. No one knew what happened to it, it was obviously used to keep her afloat, and the local Sister was left to face the donor.

I understand she was broken and left shortly afterwards.

eric-swaffer-leicester-city.jpg
eric-swaffer-leicester-city.jpg (63.36 KiB) Viewed 34751 times

eric.jpg

eric-swaffer-izabela2.jpg
Next

Return to The BKWSU